
运算微分放大电路作为电子信号处理中的核心组件,其设计原理基于电容和电阻的反向配置,在反相放大器输入端引入电抗XC,同时电阻Rf形成负反馈网络。该电路的核心功能是执行微分数学运算,即输出电压与输入电压的时间变化率成正比。当输入信号变化速率增大时,输出响应呈现“尖峰”状,体现了信号的高灵敏度。直流信号被电容完全阻断,不影响输出,而动态变化则驱动电流流动,使输出仅在信号变化时响应。这一原理在工业自动化和医疗设备中广泛应用,市场供应稳定,渠道动态显示需求持续增长。
。 近期,Xilinx代理与Xilinx联合举办了线上技术研讨会,主题为“下一代物联网芯片设计趋势”。会议回放和PPT资料已向注册用户开放,感兴趣的工程师可通过官网申请查看。
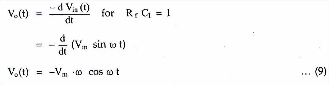
电路增益表达式揭示了其性能关键。通过节点分析,输出电压Vout等于C1Rf乘以输入电压Vin的微分,其中C1Rf为时间常数,负号表示180°相移。根据米勒定理,有效电阻Rf随运算放大器增益增大而减小,确保条件RfC1远小于周期T,优化了微分响应。在实际设计中,添加补偿电阻Rcomp和电容C2可提升稳定性,减少高频噪声和杂散拾取风险。R2值通过等式计算,C2值则基于噪声水平和带宽需求估算,平衡了元件值限制,避免输入阻抗影响。行业应用表明,这些设计改进增强了电路在通信系统中的可靠性。

波形分析进一步验证了电路行为。阶跃输入产生负向尖峰输出,因信号瞬时变化触发电流流动;方波输入生成脉冲串,对应每个阶跃的微分响应;正弦波输入则输出余弦波形,频率ω下增益线性上升。这些波形在信号处理中至关重要,尤其在测试仪器中,市场供应显示定制化方案需求上升。然而,高频响应问题需通过添加滚降元件解决,如改进电路所示,确保输出随频率可控。Xilinx中国代理提供的解决方案,帮助工程师快速适应不同输入场景,提升设计效率。

设计过程需关注元件选择和稳定性优化。电容C2和电阻R2的值取决于噪声阈值和带宽要求,大值元件提高稳定性但牺牲带宽,电阻应保持在100kΩ以下以避免阻抗影响。实际设计中,电源配置至关重要,如LM741运算放大器需双电源(如±9V),为交流信号提供摆动空间,防止削波现象。面包板电路测试显示,RC网络值(如1MΩ电阻和1nF电容)决定处理频率范围,仅适用于低频信号(<1kHz),高频应用需调整参数。行业动态表明,渠道供应中此类设计实例,加速了智能家居和工业控制领域的集成应用。

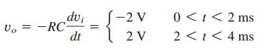
计算实例演示了电路的实际应用。给定输入电压波形,输出可通过微分公式推导:Vin = At时,Vout = -AC1Rf,生成三角波输入对应的方波输出。在t=0至4ms区间,输出呈现负向脉冲,重复于4ms至8ms,验证了微分效应。计算过程强调时间常数C1Rf的关键作用,确保输出波形准确反映输入变化率。市场供应数据显示,此类例题在教育培训中广泛采用,Xilinx中国代理提供配套资源,支持工程师快速掌握设计要点,提升信号处理精度。

我们作为Xilinx总代理的优选代理商,不仅销售芯片,更提供完整的解决方案。我们的工程师基于Xilinx平台开发了多款参考设计,涵盖智能网关、无线音频、网络摄像头等热门应用。这些方案可以帮助客户缩短开发周期,快速抢占市场。
我们定期举办技术研讨会和产品培训会,邀请Xilinx原厂工程师分享最新产品动态和应用案例。关注我们的微信公众号或访问官网,即可获取最新活动信息和技术资料。










